Astronomers have confirmed that an object in an image from 2008 -- thought at the time to possibly be a direct image of a planet orbiting another star -- is in fact a planet. I'll explain in a sec, but I want people to understand that this discovery is being touted as the first direct image of a planet around another star. It isn't. Nor is it the first direct image of a planet orbiting a sun-like star. What this is is the first direct image of a planet orbiting a sun-like star taken using a ground-based telescope. While that may sound overly picky, it's actually a significant achievement, and worth noting. First, the planet picture:

This image, taken in 2008 by the Gemini North telescope in Hawaii, shows the star 1RXS J160929.1-210524 (I'll call it 1RXS 1609) in the center, and the planet (1RXS 1609b) indicated by the red circle. As I wrote about this in 2008:
The image come from the monster 8 meter Gemini North telescope in Hawaii. The star is 1RSX J160929.1-210524 (for those taking notes at home) — it’s a K7 dwarf, a bit cooler and smaller than the Sun — and the planet is the blip circled at the upper left. It has no real name as yet — it hasn’t been confirmed yet; more on that in a sec — but if it’s a planet orbiting the star, it has a mass of about 8 times that of Jupiter.
The problem was, it might have been a background galaxy or another, fainter star. It's happened before; I spent weeks working on a similar image from Hubble that turned out to be a background star (grrr). However, new images revealed the object is in fact orbiting the star, and is a planet. Here's the proof:

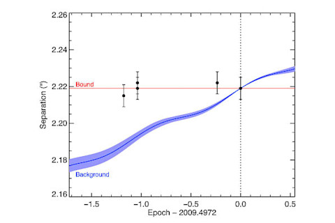
On this plot, the separation of the star and object are shown on the y-axis, and time on the x. The star is very slowly moving across the sky as it orbits the center of our galaxy. If the object were a background star, moving at a different rate, the separation between it and the star would fall on or near the purple line, changing as they move separately. If the object were a planet, the separation wouldn't change much at all as they traveled together across the sky. The observations of the object are shown as black dots, and fall pretty much right on the line marking it as a planet. Cool! Given these observations, and the distance of the star of about 500 light years, we know the planet 1RXS 1609b has about 8 times the mass of Jupiter, orbits the star 45 billion km (27 billion miles) from its star -- 300 times the Earth-Sun distance -- and has a temperature of 1500 C (2700° F). The star is a bit less massive than the Sun, and isn't nearly hot enough to heat the planet to that temperature. The reason the planet is hot is because it's young, only 5 million years old. It's still cooling off from being formed, and in a few billion years will be very cold. But right now it's warm enough to glow and be detected by us. This discovery is a technological achievement because the star and planet are very close together in the sky, and difficult to separate. From the ground, the Earth's atmosphere blurs the images and scatters the star's light, making the planet extremely hard to see at all. Even more amazing is that they could get an actual spectrum of the planet and use that to determine its temperature; that's even harder to do (like juggling is hard, but doing it on a unicycle even harder). So all in all, a truly remarkable event. However, as I pointed out, it's not being reported completely accurately.

First, it's not the first exoplanet even seen directly. That distinction belongs to the planet 2M1207b, which orbits a brown dwarf about 230 light years away. Brown dwarfs are smaller and cooler than the Sun, and are not fusing hydrogen into helium in their cores, so some people don't consider them to be real stars. So while the object seen is a planet, it's not orbiting a sun-like star.

OK, but a planet already has been directly imaged orbiting the star Fomalhaut. That star is hotter and more massive than the Sun, but is far more sun-like than a brown dwarf. The first image of the planet Fomalhaut b was taken in 2004 using Hubble Space Telescope, and the second confirming image in 2006. It took two more years to make sure everything was correct, and the news announced in 2008. So while this was announced after the image of 1RXS 1609b was first taken in 2008, the first image of Fomalhaut b was taken in 2004, four years earlier. So some people are saying this observation of 1RXS 1609b is the first direct image of a planet orbiting a sun-like star taken by a telescope on Earth (Hubble is orbiting in space). I'll grant that. And while that may seem a bit nit picky, it's actually pretty cool. Observing exoplanets from space is in some ways easier than from the ground, because there's no air to screw up the image. It's still incredibly hard, but easier. From the ground, though, there are techniques that improve the odds a lot. Still, these are very difficult observations and are a fantastic achievement. I've seen this reported with inaccurate headlines all over the place, so please be aware that there are misleading and even exaggerated reports about this. But also keep in mind that despite the breathless hyperbole, this really is pretty cool news.













