
I live in London. According to Google Analytics, 96% of this blog's readers make their homes in a different city and 91% live in another country altogether. The fact that most of you are reading this post at all is a symptom of the globalised state of the 21st century.
Through telecommunications, the Internet, free trade, air travel and more, the world's population is becoming increasingly connected and dependent on one another. And as this happens, the problems that face us as a species are becoming ever more apparent, from our relentless overuse of natural resources to the threat of climate change. But how will globalisation affect our ability to handle these problems? Will it see the cliquey side of human behaviour writ large, or the rise of cooperation on a global scale?
Opinions differ. Some say that globalisation makes the differences between ethnic or geographical groups even starker, strengthening the lines between them. This bleak viewpoint suggests that exposing people to an ever greater variety of world views only reinforces xenophobia. And indeed, recent decades have seen a surge in xenophobic political parties and states seeking independent status.
Others take a more optimistic stance, arguing that in a globalised world, people are more likely to find a sense of common belonging and concepts of ethnicity or nationhood become less relevant. After all, recent decades have also seen an increase in foreign aid to developing countries and human rights campaigns.
Nancy Buchan form the University of South Carolina has used a clever psychological game to show that the latter perspective is stronger. Her group recruited volunteers from six countries across five continents and asked them to play a game where they could cooperate with each other at local or global levels. She found that people who were more connected internationally, or who came from more globalised countries, were more likely to work together at a global level. Globalisation, it seems, breed cosmopolitan attitudes, not insular ones.

The game
Buchan recruited about 190 people each from Argentina, Iran, Italy, Russia, South Africa, and the United States - six countries that take part on the world stage to very different extents. All the volunteers were recruited from large cities and were matched as far as possible for gender, age and wealth.
Each player was given 10 tokens, each worth about fifty US cents, and a choice of three different accounts to place them in - Personal, Local or Global. If they placed a token in the Personal account, it was saved and returned to them at the end of the game.
The Local account included contributions from three other anonymous players from the same area. Any tokens that were allotted to it were doubled and divvied out evenly between the four players. From an individual's perspective, the best strategy would be to contribute nothing to this pot, while reaping a quarter of the contributions of the other players. But from the group's perspective, everyone gets the biggest benefits if they put all their tokens into the Local pot.
This sort of dilemma is a common aspect of these "public goods games", but Buchan took it one level further with the World account. This included the contributions of three separate Local groups from different countries - twelve players in all. The identities of the other countries were kept secret, but players knew they could have come from anywhere in five continents. The tokens added to this account were tripled distributed evenly between the 12 potential contributors, whether they added anything to it or not.
The World account presents another dilemma. Players get a better return for each token by investing in the Local account (0.5 each) compared to the World one (0.25 each). But if all players invest everything in the global marketplace, they get the biggest payouts - 30 tokens, compared to the 20 that they'd gain by putting everything in the Local pot, or the 10 they'd get by keeping it all to themselves.
For each of the six countries, Buchan worked out how "globalised" they are using the Country-level Globalisation Index (or CGI), developed by the University of Warwick. The CGI assigns each country a number from 0 to 1, based on several factors including trade, international investments, immigration, tourism, internet use, book and TV consumption and participation in global organisations. Of the six nations, the US has the highest CGI (0.87), followed by Italy (0.67), Russia (0.60), Argentina (0.38), South Africa (0.34) and Iran (0.20).
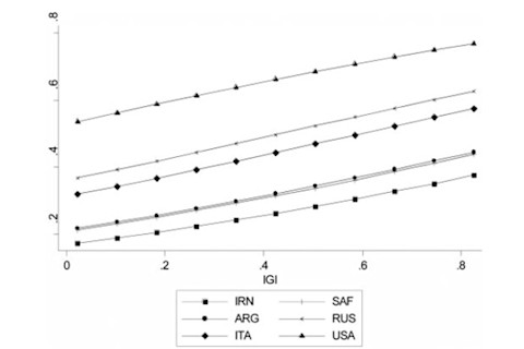
Buchan also worked out an Individual-level Globalisation Index (IGI) for each player that, like the CGI, measures how connected they are to the global arena. It's calculated based on a questionnaire which asks people whether they use the Internet, how much they travel, how interested they are in international events or culture, how many languages they speak, whether they work for multinational companies, and more.

The results
Buchan found that as CGI values went up, local contributions didn't fall in any significant way but global contributions rose. The higher a country's CGI, the more tokens its players put into the World account. Sceptics might argue that the six countries also vary in many ways that could have affected the decisions in the game, including their wealth, political structures, legal systems, and how strongly they value cooperation. But these factors have been measured through other surveys, and none of them was significantly related to the amount of tokens placed in the World pool.
Buchan found the same trends at the individual level too. The higher a person's IGI score, the more they contributed to the World account, even after adjusting for their wealth, education, age, gender, and contributions to the Local pot. And based on all her data, Buchan calculated that within each and every country, the probability of someone contributing more than five tokens to the global pool went up as their IGI did.
This shows that both living in a globalised country and feeling personally connected to the world at large has huge effects on a person's inclination for cooperating at a global scale. For example, there was a 77% chance that someone with the highest IGI score in the US would put at least five tokens in the World account; the chance that a person with the lowest IGI score in Iran would do the same was just 17%.

Cooperation and globalisation may be linked, but in which direction? Buchan addresses the possibility that people who are more cooperative are more likely to form the large-scale connections that are typical of globalisation but she isn't aware of any theories that could explain such a link. The other direction seems more plausible to her - that people in globalised societies are more likely to connect with people from distant lands and empathise with them. It fosters cooperation by creating narrow social distances out of huge geographical ones.
These results are optimistic ones. The problems of the 21^st century - global warming, drought, terrorism, lack of resources - are worldwide ones that will require us to work together to a degree never before seen in human history. Based on her results, Buchan believes that overall, globalisation is a positive force that can help to promote such cooperation.
Reference: N. R. Buchan, G. Grimalda, R. Wilson, M. Brewer, E. Fatas, M. Foddy (2009). Globalization and human cooperation Proceedings of the National Academy of Sciences DOI: 10.1073/pnas.0809522106
More on cooperation:













