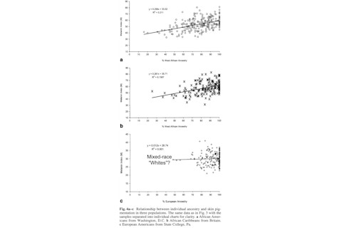
When I was reviewing the paper on skin color and ethnic ancestry a few days ago I saw a peculiar figure in a related paper which I thought I would highlight. The paper is Skin pigmentation, biogeographical ancestry and admixture mapping. The samples were 232 African and African-American individuals living in Washington, D.C., 173 British African Caribbean persons, and 187 individuals of European-American ancestry living in State College, Pa. The goal was to compare the ancestry of individuals to see how it related to their complexion. The African ancestry of these populations was: African Americans Washington D.C. 78.7%±1.2% African Caribbeans Britain 87.9%±1.1% European Americans State College, Pa. 0.7%±0.9% The European ancestry was: African Americans Washington D.C. 18.6%±1.5% African Caribbeans Britain 10.2%±1.4% European Americans State College, Pa. 96.1%±1.6% The Native American ancestry was: African Americans Washington D.C. 2.7%±1.4% African Caribbeans Britain 1.9%±1.3% European Americans State College, Pa. 3.2%±1.6 Below is a figure with "Melanin Index" on the Y axis and ancestry proportion on the X.

The R-squared refers to the amount of variation of the Melanin Index which can be explained by the ancestry on X. Black Americans with more African ancestry are darker skinned on average as a population, but the relationship is imperfect. I pointed to some reasons earlier for why this is. In any case, I'm not interested in the black samples. Look at the "European Americans." At first I assumed it was an interesting coincidence that the three outliers all had the mean European American complexion. That is, though they were only 50-60% European in ancestry it turned out that they were just about the median complexion for northwest Europeans. But thinking about it more, I realized that
anyone with that much non-European ancestry who did not look European would not be in that sample.
In other words, they would not identify as white because American cultural norms simply would not allow it. The same size here is 187, so those 3 outliers are only a small proportion. I think that a plausible hypothesis is that some of these are the outcomes of "extra-pair paternity events," if you know what I mean (I naturally don't know the frequencies around State College, though these were likely Penn State students from elsewhere). In any case, an interesting point here is that gene flow across populations can occur even if there are social norms discouraging it if the "packaging looks right."














