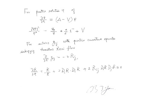
Edge.org has collaborated with the Serpentine Gallery in London on a fun kind of artistic event: a collections of formulas, equations, and algorithms scribbled (or typeset) on pieces of paper and hung from the gallery walls like honest-to-goodness pieces of art. I was one of the people asked to contribute, along with another blogger or two. You can check out the entries online. Some of the entries are straightforwardly hard-core mathematical, such as the one from J. Doyne Farmer or this from Shing-Tung Yau:

Mathematical truths have a uniquely austere beauty in their own right, but the visual presentation of such results in the form of equations can be striking even if the concepts being expressed aren't immediately accessible. (Yau is talking about Ricci Flow, a crucial element in the recent proof of the Poincare Conjecture.) Meanwhile, many of the entries take the form of metaphorical pseudo-equations, using the symbols of mathematics to express a fundamentally non-quantitative opinion (Jonathan Haidt, Linda Stone). Some of the entries are dryly LaTeXed up (David Deutsch), some are hastily scribbled (Rudy Rucker), some tell fun little stories (George Dyson), and some are painstakingly elaborate constructions (Brian Eno). Several aren't equations at all, but take the form of flowcharts or other representations of processes, such as this from Irene Pepperberg:

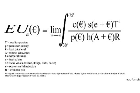
My favorites are the ones that look formidably mathematical, but upon closer inspection aren't any more rigorous than your typical sonnet, like this one by Rem Koolhaas:

Or the ones that are completely minimalistic, a la James Watson or Lenny Susskind. Note that the more dramatic your result, the more minimal you are allowed to be. The big challenge, of course, is to choose just one equation. There are a lot of good ones out there.













