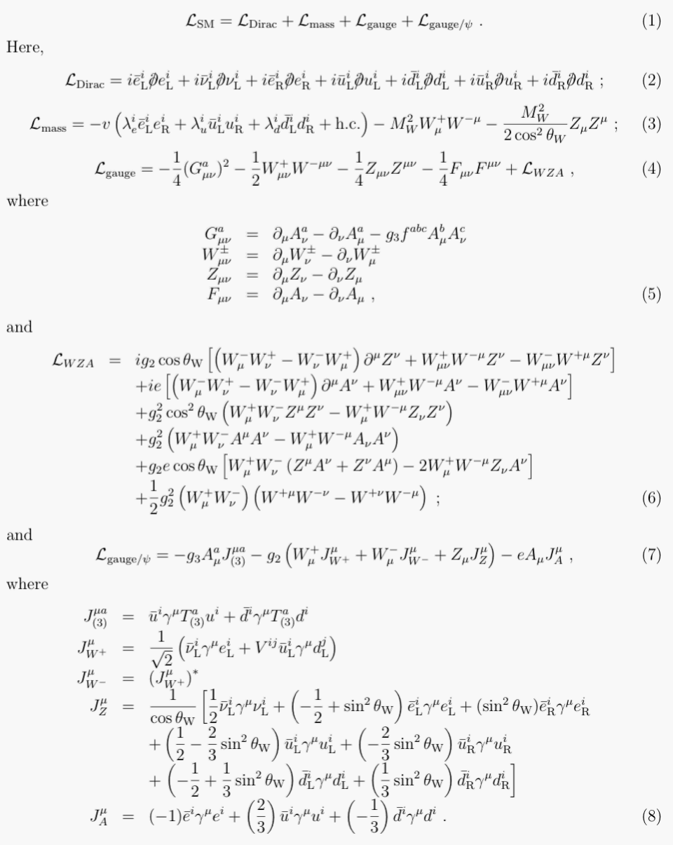
Today we give thanks for the Lagrangian of the Standard Model of Particle Physics, after electroweak symmetry breaking, with no explicit Higgs boson.

It's served us well for three decades, withstanding every challenge that particle accelerators could think to throw at it. But it's going to be blown out of the water in a couple of years. Still, a pretty good run.
Thanks, Standard Model Lagrangian!













