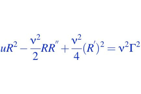
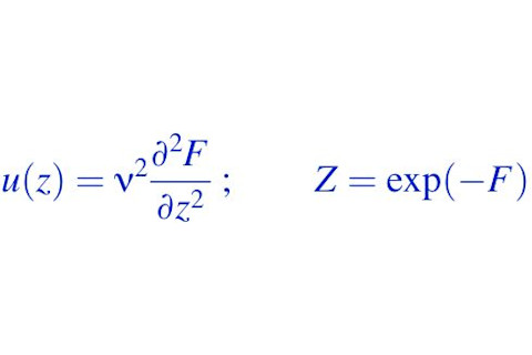
[Warning! This is an unusually technical post.] Ok, so last time, I told you a bit about the motivations for what I've been up to. Now I want to simply show you some of the product. I'm going to use pictures, words, and equations. I will lose some of you, and for that I'm sorry. But I hope that the words will still give you the gist of the thing. I'll answer some of your questions in the comments. Consider the following equation (first found and studied in this context in about 1991/1992 and reported e.g. here, and here, and here):

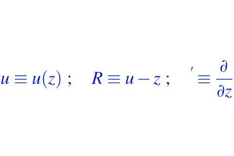
where

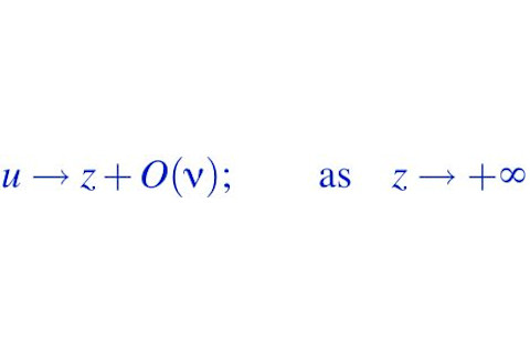
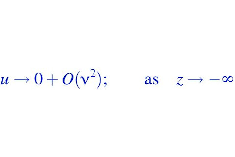
The leading boundary conditions for the solutions we wish to consider are:


This non-linear differential equation actually contains a lot of string theory information, and it is packaged in a way that is just the sort of thing we dream about in several other parts of string- (and M-) theory: It does not refer to strings by worldsheets, or any way that relies on thinking of the string as a string. We've learned from this context and several other studies that when you can identify a string unambiguously in your description, it means more often than not that you are stuck in perturbation theory and so missing a huge amount of the story. So what you look for are ways of defining string theories (or whatever they are since they are about more than strings) without starting with strings. So how do I find strings? Well, the free energy and partition function (i.e. extremely important defining quantities) for the physical model is given by

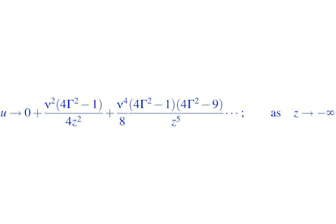
We can develop corrections to the leading behaviour above by just iterating. Actually, you can do this yourself.... substitute in u=z + correction, where "correction" is of order nu (nu is the Greek letter that looks like a curly v above), and then, neglecting anything that is higher order than that, you'll get s simple equation for the correction, which you can solve. Then you can solve for the next order in the same way, and so on.... You can do this separately for either the large positive z or the large negative z regimes. The result for positive z regime is

and so integrating twice and dumping the constant (which turns out to be non-universal physics) we get the free energy:

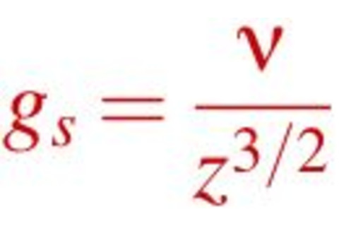
I've written it in terms of the natural dimensionless combination of parameters which keeps showing up at each term:

This is the string coupling! In fact, each term is a term in the "world-sheet" expansion of a string theory.... Have a look (for the technically observant, I've not put the sphere term, as it turns out to be non-universal in this example):

So these "world-sheets" are two dimensional surfaces that strings sweep out as they move. A particle sweeps out a line as it moves, a string sweeps out a sheet. To use language from field theory, say, these are the "Feynmann diagrams" for the string theory. Quantum mechanics (yes, this is a quantum theory, and nu plays the role of hbar, Planck's constant) tells us that we must sum over all paths the strings can take (for a given process), and this is what we see here.

Notice that the innocent-looking parameter Gamma appears in a special way. Every time there is a boundary on the string world-sheet (so it is an "open string"), there is a factor of Gamma. This actually counts the number of a certain type of "D-brane" that is in the background in which the string is moving. (I described a bit about D-branes here. They are places (dynamical objects) on which string endpoints live. See the picture on the right, showing a snapshot of the strings at one instant, so they are not sweeping out sheets.) Background? Ah, so these simple string theories have a quite simple spacetime (when it can be identified), which is one reason they are called "minimal" strings. but on the other hand it is a complicated background. This is because there is only one continuous dimension in the target space, but the strength of the string coupling varies from point to point. In fact it grows arbitrarily strong as you move to one end. This is in fact the end that the background D-branes (called "ZZ" branes (link) in this context) are located. There is another type of D-brane in these models called "FZZT" branes (link, link) which stretch along the target space. I might talk about those some other time, since their story is a nice one too. You might ask whether we have to force Gamma to be positive and an integer by hand, since the equation surely does not care about our stringy interpretation. Turns out that it does. Amazingly, the properties of the equation and its solutions are such that Gamma positive and integer are a very special sector, without you having to impose this! This is a cute result of a study we (James Carlisle, cvj, and Jeff Pennington) did around this time last year, and written up here. That Gamma is positive and integer might remind you of something else that can be counted discretely too. That story is really cute too, and I'll talk about that in a later post, perhaps. (If you can't wait, you can read ahead about it from the recent paper we posted on the arXiv on Wednesday.) So this is all rather nice, I hope you agree. We recover a string theory -with Gamma D-branes- in one perturbative regime of the equation.... we keep expanding and get stringy Feynman diagrams at whatever order we like. But the really great thing is that we've got more than just the perturbation theory! We've got every thing else. At this point, we leave most of the field of string theory in the dust, because most of what we can do with strings, as I've talked about in other posts, is based upon string perturbation theory. We need to know more about strings, and in particular, we need information to all orders in perturbation theory and we need information about stuff that cannot be described in perturbation theory at all. Well, we have that here, since the point is that the equation has more than a perturbative expansion. It has a unique exact solution. I can plot it for you here:

So you can ask questions about physics not just pertaining to the extreme right of the solution, but right in the middle, if you want to, where the expansion above makes no sense. This is really a fun and exciting thing to be able to do in such a clear and simple way. Ok, so you might ask. Hmmm, what is that region to the far left? Well away from the other perturbative regime? Well, you can do the same expansion tricks again to get:

and hence the free energy:

Turns out that this is a completely closed string theory. There are no open strings at all! Instead, Gamma appears upon the insertion of a "vertex operator" on the worldsheet, corresponding to the string moving in a background "R-R flux", a sort of background field in the model generated by closed strings. (Turns out you need an even number of such insertions, as shown in this paper, who clarified a number of key aspects of the modern interpretation of these models.) Here is the picture of what the diagrams encoded in the expansion look like.

So what we've found is that there is a completely separate regime encoded by the string equation that represents an entirely closed string theory. This is remarkable, I hope you agree, and this is an example of what is called an "open-closed transition". Such non-perturbative connections between open and closed strings were discovered in this context a long time before the terms "open-closed transition", or "open-closed duality" was invented, so people in the field point to other more recent examples as the prototype, such as here and even the heterotic/type I example in here. That's what I get for being several years ahead of my time, I suppose. (See e.g. the papers here, and here, and here.) You might ask what such a study does for the field. The simple answers are (1) Proof of principle, and (2) Controlled understanding. In other words, (1) there are several hopes expressed about how non-perturbative string theory might look -including whether it exists- and whether several of the exotic properties -such as dualities, etc- that it has can really be captured in a sensible single model. This (and its cousins) is a concrete example. Note also that we can ask physics questions for any value of the string coupling....i.e. it's not just duality games. (2) See my comments in the previous post. Well, that's probably enough to be getting on with for now. More later. -cvj













