
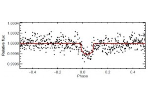
Sometimes it pays to look over some older data and re-examine it. An exoplanet called 55 Cancri e was thought to have an orbit that was just 2.8 days long when it was discovered. However, two researchers looked over the data and realized they got a better fit if the orbit were actually only 0.73654 days -- just under 18 hours! This meant it orbited its star far closer than previously thought as well. And while that may be somewhat interesting, it's the implications for the planet itself that make this orbital revision so cool. Or actually, hot. And dense. Right. As usual, there's a story to tell here... The planet was discovered using the Doppler method: as it orbits its star, the gravity of the planet tugs on the star, causing a very small shift in the spectrum of starlight. The problem is getting enough observations to nail down the planet's period; you can't observe when it's up during the day, and that cuts into the ability to get a good sampling of measurements. The discovery data gave a good fit at 2.8 days, so that's what astronomers assumed was the orbital period. But there were gaps in the data, and that can mask the true orbital period. When the data were examined more carefully, the 18 hour period was seen. But was it real? Well, it turns out that the shorter period possibly meant there was another way to see the planet: transits! Some exoplanets have their orbits aligned just right so that from Earth we see the planet planet passing directly between us and the star once per orbit. The closer in the planet orbits, the higher the chance of such a transit taking place. An 18 hour orbit is pretty close! So astronomers predicted when the transits would take place and, using Canada's MOST telescope, took a look.

Boom! Right on time, the planet was detected as a slight dip in the starlight... a very slight dip; only 1/50th of a percent of the star's light. That's pretty feeble and hard to detect, but it was definitely there. But that tiny drop in light from the star tells a big story. First of all, it tells us the planet's size (the bigger the dip in light, the bigger the planet). 55 Cancri e, it turns out, is only a little bigger than Earth: about 1.63 times the Earth's diameter. This makes it a superearth; bigger than us, but not nearly big enough to be a jovian, Jupiter-like planet. And since the Doppler method used to detect it in the first place gives the planet's mass -- 8.6 times that of the Earth -- we can calculate the average density. It's a whopping 11 times that of water, twice that of our home planet. That's about the same density of lead. That's weird. Really weird; it's the densest exoplanet found by a long shot. And this planet is hot. Freaking hot. It only orbit 2.3 million kilometers (1.4 million miles) above its star's surface, so the temperature on the dayside of the planet may reach nearly 2700°C, or 4900°F! If the planet really does have a lot of lead, that metal is sitting on the surface in pools of liquid. At that temperature and mass, it's pretty unlikely the planet could hold on to an atmosphere for very long, so it's most likely airless. So 55 Cancri e is a forbidding place. You'd weigh three times what you do on Earth. The sun would beat down on you, appearing 65 times bigger in the sky than it does here on Earth, about the size of a big dinner plate held at arm's length (for comparison, from Earth the Sun is small enough to be easily blocked by your thumb held out at arm's length). And, of course, you'd burst into flame instantly... except there's no air, so in reality you'd just cook right there on the spot. Or smolder, more likely. Interestingly, a trend is starting to emerge: the densest "superearth" exoplanets tend to be very close to their star, while less dense ones are farther out. This makes some sense, since for a close-in planet the atmosphere gets lost rapidly, leaving the denser material behind. Still, we need more samples in this survey! For years, my whole life, really, I used to go outside and look at the stars, wondering which if any had planets orbiting them. 55 Cancri is a naked-eye star (barely), Sun-like and only 40 light years away. While we've only been detecting exoplanets for a few years, we're starting to get decent statistics on them, seeing trends and getting tantalizing hints at what's to come. I know the ultimate goal is to find Earthlike planets, uncover more brethren to our homeworld. But along the way we're finding planets that are surprising and weird, and sometimes I think that may actually be where all the fun is.
Related posts: - Gallery of exoplanets: real pictures of alien worlds - Kepler finds a mini solar system! - Exoplanet found from another galaxy! - Does Gliese 581g exist?













