About 10 years ago Eugene Volokh wrote How the Asians Became White. I think it's aged rather well. Volokh starts:
Don't believe me? A recent MSNBC news headline announced a "Plunge in Minority University Enrollment" at the University of California, with UC Berkeley reporting that "minority admissions had declined 61 percent." Actually, the total percentage of racial minority students at Berkeley, Asians included, fell from 57% to 49%. If you exclude the burgeoning group of people who decline to state their race, the minority percentage fell only three percentage points, from 61% to 58%.
Fast forward, you see headlines such as Minority doctors in short supply in state. Here are the first two paragraphs:
A new study on physicians in California shows a glaring gap between the number of doctors of color compared with the state's ethnically diverse population, especially among African Americans and Latinos. At the same time, the state has a disproportionate number of Asian and white doctors, according to the UCSF study, which focuses on doctor ethnicity and language fluency.

The same mixing & matching. To assert a glaring gap of color one has to de-colorizing Asians. Including Asians makes the gap far less glaring (a state that is about 50% minority with around 40% minority doctors). The general focus of the news report here is pushing the thesis about a minority doctor shortage, so you see the standard deemphasis on statistics which show a surfeit of Asian Americans, but with a precise & clear reiteration of the dearth of blacks and Latinos. The background assumption is of course simple: a world of white and non-white must redress the injustice that the white metes out to the non-white. Luckily, we have data. You can read the original report (PDF). I did, and placed some of the data below the fold.... For the proportions of some of the minority groups I used Census 2000, though as you can see I couldn't find the appropriately detailed data for some of the ethnicities. The table is self-explanatory; the higher the value of the rightmost column the more represented a group is among the physicianocracy.
Some of these data are pretty explicable. Indian Americans came to the United States disproportionately as physicians. Many of the offspring of the initial generation followed their parents into medicine. Japanese and Chinese Americans were the archetypical "Model Minorities," so no surprise they are well represented in an academically demanding profession. The case of the Vietnamese and Hmong are interesting contrasts, and show the power of human capital. Both arrived as refugees, but the Hmong were often marginal and backward even in Laos (they're from an ethnic minority outside of the lowland Lao Buddhist majority). In contrast, many of the Vietnamese who arrived as refugees were relatively well equipped to make a transition to a modern market economy because the rudiments of these institutions were already extant in South Vietnam. The overrepresentation of Cubans and the equal representation of Puerto Ricans shows that derivation from Spanish language ancestors does not magically make one unable to ascend into the physicianocracy. The report gives a lot of space to the importance of diversity. Most of you who are ecologically oriented are probably aware of various index of diversities. I'll use this one:
Ethnic diversity of California physicians & reflection of state demographics
PhysiciansPopulation Proportion Ratio
White61.746.71.32
Black3.26.70.48
Asian & Pacific Isl. 26.411.22.36
Chinese8.82.93.03
Indian6.10.96.78
Korean2.81.02.8
Filipino3.22.71.19
Japanese1.90.573.33
Vietnamese2.312.3
Pakistani0.7
Cambodian0.1
Samoan0.1
Lao/Hmong0.1
Native American 0.61.00.6
Latino5.232.40.16
Mexican2.420.540.12
Cuban0.350.162.19
Puerto Rican 0.30.31

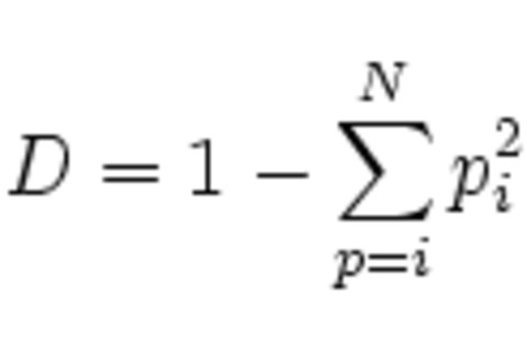
p = proportion of individuals or objects in a category & N = number of categories. N = 5, where the categories are white, black, Latino, Asian & Pacific Isl. and Native American. The p's are simply the proportions above. Physician's D = 0.55 All population D = 0.66 The max value of D is proportional to the number of categories (5) equally weighted, so in this case the max is D = 0.80. What does this tell us? California physicians are not as diverse ethnically as the population of the state, but they aren't that far off. But, the character of the diversity is very different, heavy on Asians, light on Latinos and blacks. News reports and the paper itself highlights the importance of having doctors of many ethnicities because a doctor of ethnicity X is more likely to service ethnicity X. Additionally, a doctor of ethnicity X is also more fluent in cultural norms and other ethnicity specific details which might be medically signficant on the margins. But that leaves out another part of the picture. Let me quote from a Sac Beestory:
Cruz, 32, is his family's first college graduate. "I didn't have a lot of support or mentors," he said. Unlike many students who hope to become a doctor, Cruz said he didn't get top grades in college and failed repeatedly on qualifying medical school exams before becoming prepared for the rigors of a medical education.
I'll be frank and admit that I don't think that I get the most bang-for-the-buck when it comes to general practice physicians. I have no problem with being seen by nurse practioners because I don't think that general practice physicians add that much value, so I wouldn't be that worried if my initial gatekeeper was someone like soon-to-be Dr. Cruz. But I would want a specialist for more serious ailments to be as good-as-can-be. If I believed my life was on the line I have no great qualms about discriminating against doctors who I think might not be as qualified as they would otherwise have to be because the state of California medical education system is allowing in those with marginal academic backgrounds so that underserved communities are served. People need to remember these sorts of things when they are start scheming about engineering with the levers of society. There needs to be a happy medium, at some point ethnic identity is less salient than competence and cognitive firepower. These sorts of stories reflect the reality that journalists and the reading public is primed toward simple narratives. In the early 20th century most white Americans were casual racists who took the supremacy and superiority of their race for granted. The literate public ate up books such as The Passing of the Great Race, which extolled the virtues of Nordic Northern European man. Unfortunately, this simplistic narrative had to confront the reality that Nordic man did not build the pyramids or the Great Wall of China, invent the phonetic alphabet or derive the first mathematical proof. The solution was elegant, if ridiculously implausible: all civilizations were founded by Nordics who were later debased by racial admixture. Today very few white Americans are casual racists, and most take for granted that racism is a sign of low class and bad moral character. Additionally, a solid majority of the white American elite now submits that diversity is Good. Unfortunately the simplistic narrative continues; only inverted. Instead of a complex world where reality sprawls over many dimensions there is a need to box life into as few buckets as possible. The white race is not longer perfect, but it is perfectable, and due consideration to the state of non-whites are the means toward thats perfection. All the world's a stage, but there's still only one relevant player. The Great Divergence of the 19th century ushered in an era where simple narratives fit. Europeans were the most powerful and intellectually vibrant peoples on the face of the earth by orders of magnitude. Prior to this the world was polycentric, with many values espoused by rival polities interlaced and locked together in a dance of great complexity. With the rise of quasi-Communist China, and the waxing of the East Asia realms as a whole, we are likely witnessing the end of the European Moment. But we don't have a more complex narrative to go along with it....













